云顶集团官网

Shandong Taihe Water Treatment Co.,Ltd.
reach

Main Products

Shandong Taihe Technologies Co., Ltd.
TEL:  +86-632-5113066
FAX:  +86-632-5112055
E-mail: info@thwater.net
ADD: No.1, Shiliquan East Road, Shizhong District, Zaozhuang City, Shandong Province, P.R.China

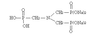
Tetra sodium salt of Amino Trimethylene
Phosphonic Acid
(ATMP?Na4)

CAS No.  20592-85-2

Molecular Formula:   C3H8NO9P3Na4       Molecular weight: 387

Structural Formula:

Tetra sodium salt of Amino Trimethylene Phosphonic Acid (ATMP?Na4)

Properties:

ATMP?Na4 is the salt of ATMP, it can inhibit the scale formation, calcium carbonate in particular, in water system. ATMP?Na4 can be used in circulating cool system in power plant, oil refinery plant and oilfield refill water system. ATMP?Na4 has good synergistic effects with other additives, in neutral to acidic condition, no ammonia smell is let off.

Specification:

Items Index
Appearance Colorless or light yellow transparent liquid
Active content (ATMP)% 29.4-32.4
Active content (ATMP?Na4) % 38.0-42.0
PH (1% water solution) 6.5-7.5
Fe,mg/L 10.0 max
Density (20℃) g/cm3 1.35-1.45

Usage:

ATMP?Na4 is used together with other organophosphonic acid, polycarboxylic acid or salt to form organic alkaline agents, it is used in circulating cool water system for all water quality.

Package and Storage:

200L plastic drum,IBC(1000L), customers' requirement. Storage for twelve months in shady room and dry place.

 
网站地图