Shandong Taihe Technologies Co., Ltd.
TEL: +86-632-5113066
FAX: +86-632-5112055
E-mail: info@thwater.net
ADD: No.1, Shiliquan East Road, Shizhong District, Zaozhuang City, Shandong Province, P.R.China
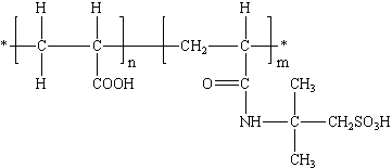
CAS No. 40623-75-4
Structural Formula:

AA/AMPS is the copolymer of acrylic acid and 2-acrylanmido-2-methylpropanesulfonic acid. Due to including carboxylic group (scale inhibition and dispersion) and sulfonic acid group (strong polarity) in this copolymer, AA/AMPS has high calcium tolerance and good scale inhibition for calcium phosphate, calcium carbonate and zinc scale. When built with organophosphines, the synergic effect is obvious. AA/AMPS is suitable to be used in water quality of high pH and high alkaline, it is one of the ideal scale inhibitors and dispersants on high concentration index.
| Items | Index | |
|---|---|---|
| Appearance | Colorless to light yellow viscous liquid | Colorless to light yellow viscous liquid |
| Solid content % | 30.0 min | 40.0 min |
| Free monomer (as AA)% | 0.50 max | 0.50 max |
| Density (20℃)g/cm3 | 1.05 min | 1.15 min |
| pH(1% water solution) | 3.0 max | 3.5-4.5 |
AA/AMPS can be used as scale inhibitor and dispersant in open circulating cool water system, oilfield refill water system, metallurgy system and iron & steel plants to prevent sediment of ferric oxide. When built with organophosphorines and zinc salt, the suitable pH value is 7.0~9.5.
AA/AMPS can also be used as dyeing auxiliaries for textile.
AA/AMPS liquid: 200L plastic drum,IBC(1000L),customers’ requirement.
AA/AMPS solid: 20kg/bag, customers‘ requirement. Storage for twelve months in shady room and dry place.
AA-AMPS; AA-AMPSA; Acrylic Acid-2-Acrylamido-2-Methylpropane Sulfonic Acid Copolymer; Sulfonated Polyacrylic Acid Copolymer;
Copyright © 2013 Shandong Taihe Technologies Co., Ltd. All Rights Reserved.