Shandong Taihe Technologies Co., Ltd.
TEL: +86-632-5113066
FAX: +86-632-5112055
E-mail: info@thwater.net
ADD: No.1, Shiliquan East Road, Shizhong District, Zaozhuang City, Shandong Province, P.R.China
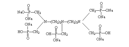
CAS No. 22042-96-2 (x-Na) 68155-78-2 (7-Na)
Molecular Formula: C9H21O15N3P5Na7 Molecular weight: 727
Structural Formula:

DTPMP?Na7 is a scale inhibitor, for barium sulphate in particular and a chelating agent.DTPMP?Na7 can be used as stabilizer for peroxide bleaching, detergent auxiliaries, in industrial & municipal cleaning water, terrestrial heat water, oilfield water, etc.
| Items | Index | |
|---|---|---|
| Appearance | Umber transparent liquid | |
| Active content (DTPMPA)% > | 31.5-33.5 | 24.0-26.0 |
| Active content (DTPMP?Na7)% | 40.0-42.5 | 30.5-33.0 |
| Total phosphoric acid(PO43-)% | - | 19.7-21.7 |
| Chloride ( as Cl-) % | 5.0 max | 5.0 max |
| Fe, mg/L | 20.0 max | 20.0 max |
| PH(1% water solution) | 7.0-9.0 | 7.0-9.0 |
| Density (20℃) g/cm3 | 1.25 min | 1.24-1.34 |
200L plastic drum, IBC(1000L),customers' requirement. Storage for ten months in shady room and dry place.
Avoid contact with eye and skin, once contacted, flush with water.
Copyright © 2013 Shandong Taihe Technologies Co., Ltd. All Rights Reserved.